Skip to content
Curious..about data
One data professional's adventures with data..and beyond
Previous Image
Next Image
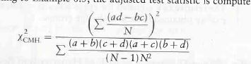
cm1
Post navigation
Published in
Cochran-Mantel-Haenzel Method with T-SQL and R – Part I
Leave a Reply
Cancel reply